文老师编程学习(ssoier.cn)
文老师的编程学习网站


常用数学符号的 LaTeX 表示方法

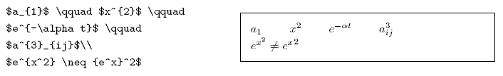
1、指数和下标可以用^和_后加相应字符来实现。比如:

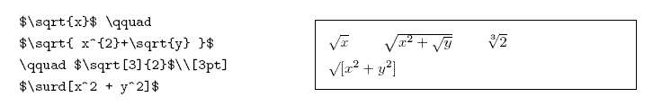
2、平方根(square root)的输入命令为:\sqrt,n 次方根相应地为: \sqrt[n]。方根符号的大小由LATEX自动加以调整。也可用\surd 仅给出符号。比如:

3、命令\overline 和\underline 在表达式的上、下方画出水平线。比如:

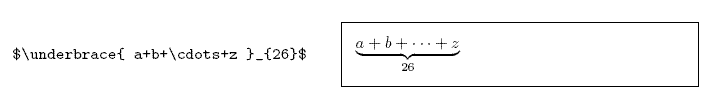
4、命令\overbrace 和\underbrace 在表达式的上、下方给出一水平的大括号。

5、向量(Vectors)通常用上方有小箭头(arrow symbols)的变量表示。这可由\vec 得到。另两个命令\overrightarrow 和\overleftarrow在定义从A 到B 的向量时非常有用。

6、分数(fraction)使用\frac{...}{...} 排版。一般来说,1/2 这种形式更受欢迎,因为对于少量的分式,它看起来更好些。

7、积分运算符(integral operator)用\int 来生成。求和运算符(sum operator)由\sum 生成。乘积运算符(product operator)由\prod 生成。上限和下限用^ 和_来生成,类似于上标和下标。

以下提供一些常用符号的表示方法


©2017-2024 ssoier.cn  (蜀ICP备2024068936号-2)  联系我们: 248801752@qq.com  23967609@qq.com